Quando ocorre um lançamento horizontal, o objeto lançado realiza um movimento parabólico em relação ao solo. Para estudar esse tipo de lançamento, é necessário compreender que ele é composto de um movimento retilíneo uniforme na horizontal e uma queda livre na vertical.
Publicidade
O que é lançamento horizontal

O lançamento horizontal se caracteriza por dois movimentos simultâneos e em direções perpendiculares. Desprezando a resistência do ar, na horizontal, o corpo desenvolve um movimento retilíneo e uniforme, enquanto que, na vertical, ele realiza um movimento retilíneo uniformemente variado. Ou seja, na vertical, o corpo desenvolve uma queda livre.
Relacionadas
Tais condições ficaram conhecidas por conta do livro Duas novas ciências, escrito por Galileu Galillei. Por conta disso, essa simultaneidade de movimentos é chamada de Princípio de Galileu.
Todo lançamento de projéteis, desprezando-se a resistência do ar, descreve um movimento parabólico. Dessa forma, o lançamento horizontal é um tipo de movimento parabólico. É possível observar que, no lançamento horizontal, o corpo descreve uma meia parábola.
Fórmulas
No lançamento horizontal, estudamos dois movimentos perpendiculares. Assim, as fórmulas para esse conceito físico são estudadas separadamente. Isto é, estudamos o movimento na vertical e o movimento na horizontal.
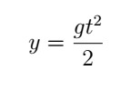
Na vertical:
O movimento na vertical é um movimento retilíneo uniformemente variado, o qual está apenas sob a ação da força da gravidade. Isto é, na vertical temos um movimento de queda livre.
Publicidade

Em que
- y: altura em relação ao solo (m)
- g: aceleração da gravidade (m/s2)
- t: tempo de queda (s)
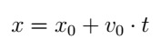
Na horizontal:
Já na horizontal, o movimento é retilíneo e uniforme. Isto é, quando desprezamos a resistência do ar, não há aceleração horizontal agindo sobre o corpo.
Publicidade

Em que
- x: posição final (m)
- x0: posição inicial (m)
- v0: velocidade inicial (m/s)
- t: tempo de queda (s)
Lembre-se que, no lançamento horizontal, o tempo de queda será o mesmo que o de um corpo em queda livre. Ou seja, desprezando a resistência do ar, se dois corpos estiverem a uma certa altura do solo e um deles for lançado horizontalmente e o outro solto em queda livre, ambos tocarão o chão simultaneamente.
Videoaulas sobre Lançamento Horizontal
Separamos alguns vídeos sobre lançamento horizontal e conceitos físicos que se relacionam com ele. Dentre eles, está um vídeo que explica o princípio de Galileu. Confira!
Composição de movimentos
Para compreender melhor como estudar o lançamento horizontal, é preciso saber os conceitos da composição de movimentos, ou princípio de Galileu. Em função disso, nesse vídeo, você aprenderá o que é e como aplicar a composição de movimentos.
Cinemática vetorial e lançamento horizontal
O professor Marcelo Boaro traz uma abordagem vetorial para o conceito de lançamento vertical. Com isso, é possível estudar esse conceito físico de maneira mais aprofundada.
Lançamento horizontal e lançamento oblíquo
Nesse vídeo do canal Pura Física, o professor Rafael aponta de que maneira o lançamento horizontal e o lançamento oblíquo se relacionam. Além disso, ele explicita que o lançamento horizontal é um movimento que está sob a ação apenas da gravidade.
Quando estudamos o lançamento horizontal, não nos preocupamos em compreender as causas do movimento. Por conta disso, o lançamento horizontal é um conteúdo que está presente dentro do tópico de Cinemática.
Referências
YOUNG, H. D. Física I: Mecânica. São Paulo: Addison & Wesley. 2016.
NUSSENZVEIG, H. D. Curso de Física Básica: Volume 1. Rio de Janeiro: Edgard Blucher. 2004.
Por Hugo Shigueo Tanaka
Divulgador Científico e co-fundador do canal do YouTube Ciência em Si. Historiador da Ciência. Professor de Física e Matemática. Licenciado em Física pela Universidade Estadual de Maringá (UEM). Mestre em Ensino de Ciências e Matemática (PCM-UEM). Doutorando em Ensino de Ciências e Matemática (PCM-UEM).
Tanaka, Hugo Shigueo. Lançamento Horizontal. Todo Estudo. Disponível em: https://www.todoestudo.com.br/fisica/lancamento-horizontal. Acesso em: 27 de December de 2025.
1. [Fuvest]
Um drone voando na horizontal, em relação ao solo (como indicado pelo sentido da seta na figura), deixa cair um pacote de livros. A melhor descrição da trajetória realizada pelo pacote de livros, segundo um observador em repouso no solo, é dada pelo percurso descrito na

a) trajetória 1;
b) trajetória 2;
c) trajetória 3;
d) trajetória 4;
e) trajetória 5.
Alternativa correta: D.
Se desprezarmos os efeitos da resistência do ar, o pacote possui a mesma velocidade horizontal que o drone. Além disso, ele acelera na vertical a partir do repouso.
Sua trajetória será um arco de parábola, o qual é melhor representado na trajetória 4.
2. [Cefet-MG]
Um avião está levando suprimentos para pessoas que se encontram ilhadas numa determinada região. Ele está voando horizontalmente a uma altitude de 720 m acima do solo e o com velocidade constante de 80 m/s. Uma pessoa no interior do avião é encarregada de soltar a caixa de suprimentos, em um determinado momento, para que ela caia junto às pessoas.
Desprezando a resistência do ar e considerando a aceleração da gravidade igual a 10 m/s2 , a que distância horizontal das pessoas, em metros, deverá ser solta a caixa?
a) 80;
b) 720;
c) 960;
d) 1200.
Alternativa correta: C.
Primeiro calculamos o tempo de queda:
![]()
Agora, calculamos o alcance horizontal:
A = vt = 80*12 = 960 m